El diputado se presentó voluntariamente ante la Justicia para colaborar con la investigación por la presunta malversación de fondos públicos en el Municipio de Sáenz Peña.
Santiago Pérez Pons aportó esta mañana valiosa documentación y pruebas vinculadas a la denuncia penal por la operatoria financiera que habría generado un perjuicio patrimonial de al menos 1.800 millones de pesos al Municipio de Presidencia Roque Sáenz Peña.
La denuncia involucra al intendente Bruno Cipolini, a la secretaría de Economía María Alejandra Quintana y al secretario de Gobierno Diego Landriscina, por la posible comisión de los delitos de incumplimiento de los deberes de funcionario público, malversación de caudales públicos y peculado.
“Yo no especulé, denuncié y vine a la Justicia. La plata pública no se negocia. La plata de los vecinos no se timbea”, afirmó Pérez Pons tras su presentación, durante una conferencia de prensa en la que mostró públicamente gran parte de las pruebas exhibidas hoy.

Operaciones sin respaldo legal ni presupuestario
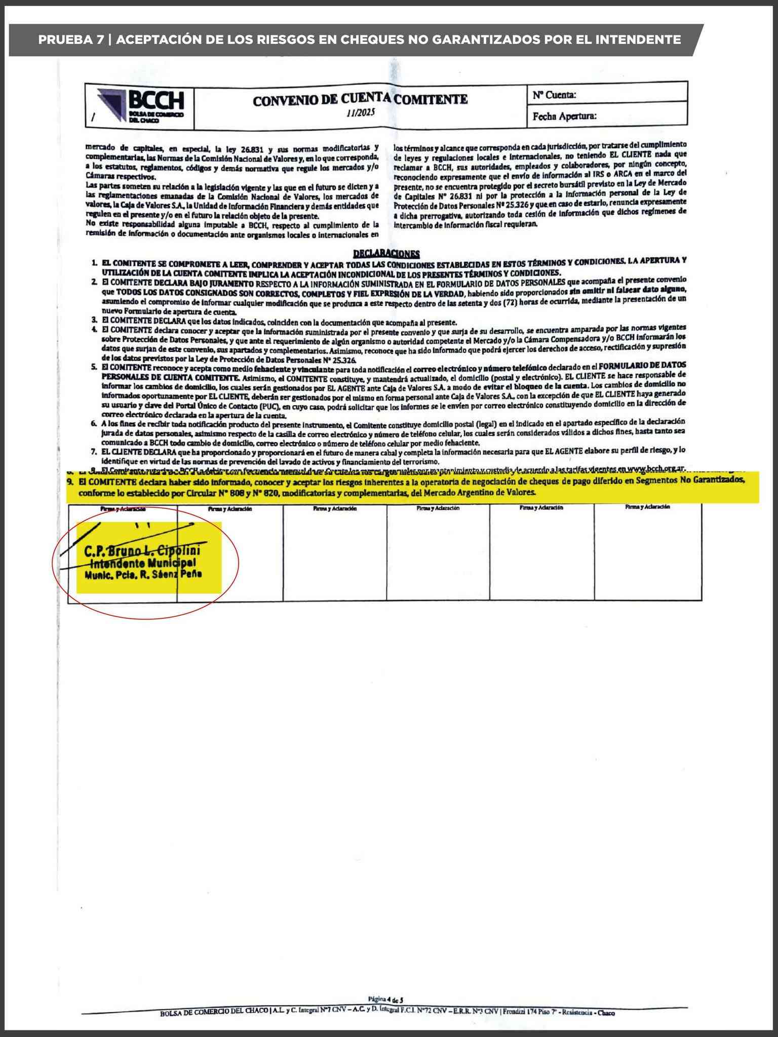
Según la documentación entregada hoy, el Municipio habría dispuesto fondos públicos para realizar inversiones financieras no garantizadas a través de la Bolsa de Comercio del Chaco, recibiendo como contrapartida cheques emitidos por una empresa privada que no habrían sido cubiertos a su vencimiento, generando una pérdida millonaria.
El diputado remarcó que el presupuesto municipal no contemplaba partidas para inversiones financieras, ni existe una ordenanza específica que autoriza al Ejecutivo a realizar este tipo de operaciones. Asimismo, recordó que la Resolución 14/96 del Tribunal de Cuentas establece que el intendente es el responsable del cumplimiento del presupuesto aprobado.
En ese marco, sostuvo que el propio intendente firmó la apertura de la cuenta comitente ante la Bolsa de Comercio del Chaco, declaró el origen público de los fondos y aceptó expresamente los riesgos inherentes a la operatoria.
“Nadie puede decir que no sabía. Se firmaron contratos, se aceptaron términos y condiciones y se cambió el perfil inversor del municipio, habilitando instrumentos de mayor riesgo. Todo está documentado”, señaló.

Entre las pruebas aportadas se incluyen constancias de modificación del perfil inversor del Municipio, paso indispensable para acceder a instrumentos financieros más riesgosos, incompatibles con la obligación legal de un municipio de mantener un perfil conservador.
“Un municipio no es un fondo de inversión, su función no es maximizar rendimientos financieros sino administrar recursos para atender las necesidades de los vecinos”, afirmó.
¿Conflicto de intereses?

Otro de los puntos incorporados a la causa refiere al rol de Diego Landriscina, autorizado a operar la cuenta comitente del Municipio.
De acuerdo con la documentación presentada, además de su función como secretario de Gobierno, Landriscina figura como mánager de cuentas en la Bolsa de Comercio del Chaco y habría percibido comisiones vinculadas a la operatoria. Según los registros incorporados, solo en 2025 habría recibido más de 15 millones de pesos en concepto de comisiones.

“Una cosa es que la Bolsa cobre su comisión regulada, otra muy distinta es que un funcionario que decide inversiones con fondos públicos perciba beneficios derivados de esa misma operatoria. Eso debe ser investigado”, sostuvo.
En su presentación, el economista oriundo de la ciudad termal solicitó a la Justicia requerir documentación al Tribunal de Cuentas, a la Bolsa de Comercio del Chaco y al Concejo Deliberante, además de disponer medidas urgentes para resguardar pruebas y evitar cualquier posible entorpecimiento de la investigación.
“No es una discusión partidaria, es una cuestión de responsabilidad institucional. Cuando se pierden 1.800 millones en una ciudad que necesita obras, servicios y mejores salarios municipales, alguien tiene que dar explicaciones”, señaló.
Y concluyó: “Mi trabajo es denunciar y aportar pruebas. Ahora le corresponde a la Justicia investigar y esclarecer, porque 1.800 millones no desaparecen solos.”

















































